Skip to content Skip to sidebar Skip to footer

Business License Kansas City

Business License Kansas City. Register with the missouri or kansas secretary of state. Starting at the top, check this list to find out.

The Search For A Great Kansas City Property Manager
The Search For A Great Kansas City Property Manager from activerain.com
What is a Business? Business is a sort of organization which is organized to provide services to a client. The principal objective of a business is profit, however, there are many other goals that can be achieved by the company. The purpose of a business is to meet a client's demands and desires. According to Peter Drucker argues, this is the most accurate meaning of business. The absence of clients means that a company could not survive. Internal functions include the activities in the workplace Internal functions include activities carried out within the organization in order to accomplish a specific set of goals. These can include policies and procedures. In order to be successful, these processes and policies need to be carefully designed, implemented and distributed throughout the organization. The top management of an organization should be able to convey about the importance of controlling hazards and errors is a vital issue, and internal control should be an absolute priority. Additionally, every employee must acknowledge their roles in internal controls and be equipped in order to communicate important information downstream. Sales and marketing can be a good example of internal activities. Sales managers are responsible for ensuring that their goods and services are delivered to customers promptly. They must also ensure they reach all areas they are specifically targeted. Apart from these primary tasks, internal functions comprise supporting functions that help the internal and extra-business functions to operate smoothly. Managers of these functions offer data to the management so that it can make decisions that are strategic. Internal controls can help avoid errors safeguard information, prevent errors, and protect against fraud. Without internal controls, financial information is uncertain and operational efficiency could be affected. Furthermore, they can impact the image of the business. Therefore, it's essential that you establish internal controls that ensure the integrity and accuracy of the report on financials of the organization and to deter fraud and theft. Profit is the most important metric to judge the performance of a business Profit is defined in both absolute and relative terms. In absolute terms, the term "profit" is the sum of money made over a specified time. In terms of percentages, profit is the amount the profit earned as a percentage of revenue. Profit is a crucial indicator for businesses as it serves as an incentive to invest money and take risks. Profitability is the main goal of every business. Without it, a company is doomed to fail. Profitability is determined by two variables which are expenses and income. Income is the amount earned from the selling of a product or service. It doesn't include the cost of getting capital. The expenses are the cost of running the company. Profit is the money an organization earns after deducting expenses. The higher the margin of profit and the higher the profit margin, the better the company's financial condition. Another vital metric is the quality of the customer's satisfaction. A high level of customer happiness can help a company improve its products and services. Email newsletters, polls and customer surveys are the most common methods of gathering this information. Profit does not define success. It can mean different things to different companies. For example, a popular shop might be successful when it is in the position of breaking even, or makes an income of around PS2,000 per week. It is a great achievement to break even for a company in its first year, however, it's far from an indicator for performance. Trade cycles make business more risky There are four main phases in the business trade cycle. Each phase varies in its length and effects the economy, such as levels of unemployment, inflation and the consumption of consumers. These cycles are monitored by central banks and are one of the main factors that affect their monetary policies as well as short-term interest rates. These cycles are characterized by a contraction, peak, and the trough. Recognizing the phases in the trading cycle of business can help investors to understand the economy's conditions. The first section of the trade cycle is called the expansion phase, while the subsequent phase is known as the contraction phase. In the stage of contraction the economy hits its maximum growth rate, and it ceases to grow. This causes unemployment rates to increase and incomes to decline. The economy can also be in a bear market, as investors sell their stocks. The contraction phase could be caused by a rapid rise in interest rates and financial turmoil, or over-inflated inflation. Small businesses Comparing. mid-sized businesses There are many ways to classify firms. One of the ways is to determine the amount of employees. A small-sized company is usually defined as having fewer than fifty employees. Mid-sized businesses have between 50 and the amount of $1 billion in revenue. Large companies usually have above $1,000 million in revenue. While large companies are dominant in certain industries, most of the work , products and work is completed by small and mid-sized companies. The contrast between mid-sized as well as small companies is vital since each type of business employs a different amount of people. Although small businesses typically employ less than a hundred people, mid-sized businesses could employ tens of thousands. Small and mid-sized companies may benefit from a variety of organizational technology and corporate structures. Alongside these distinctions apart from these, the size and size of a company will affect the kind of workplace it provides. A smaller company may be able to offer more flexibility, say improving its communication and decision-making process. A smaller company may be able to enact changes more quickly than a larger business. Smaller businesses may offer flexible work schedules and work from home alternatives as well as odd bonuses. One benefit when working with small companies is that they can be more innovative and targeted in their sales tactics. In addition, small-sized businesses are more likely to try in order to test and verify that they are effective. They also can make decisions quickly and have less complexity when compared with large corporations. Additionally, small-sized companies frequently refer small businesses to their solution when they're pleased with the result. Subchapter S corporations Subchapter S corporations are closely linked to the various types of corporate. Basic procedures for incorporation of for a company are the same however the main difference is the type of ownership. Generally, individuals are allowed to hold shares in S corporate entities. There are limitations on who can be an investor. If you're considering to launch a business you should seek advice from an expert. Tax and legal experts can offer you expert guidance. You can also join this program. CorpNet Partner Program, a network of companies providing business registration and compliance assistance. If you refer clients, you may earn extra money. In the case of an S corporation, you will benefit from tax savings. Subchapter S corporations aren't taxed at the corporate scale, meaning that the profits you earn are not taxed twice. Additionally, S corporations don't have to pay taxes on payroll, nor Social Security or Medicare taxes. Due to this, they're far more tax efficient than other types of business entities. However, this model has certain drawbacks, such as the fact that the shareholders are required to pay tax on their distributions. Additionally, it could create stress for companies to distribute cash more often in order to affect the development of capital. Therefore, it may not be a good choice for businesses that need the funds for a large investment.

Business licenses required at all levels of government for businesses in kansas city, kansas. The columbus police department can replace any missing/ lost dog tags for a fee of $2.50. One example is overland park.

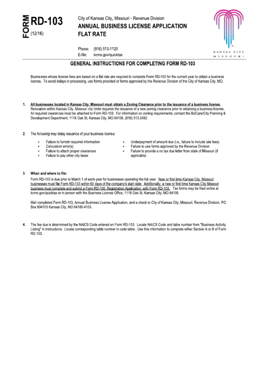
Dba (Doing Business As) Name:


The columbus police department can replace any missing/ lost dog tags for a fee of $2.50. Kansas may require you to get a business license if you intend to do business there. The search will only provide information about business licenses issued by the revenue division.

State And Local Governments Require Many Industries To Have Permits Or Licenses To Operate.


Recycling and trash collection is operating on its normal schedule. All real estate and business. Starting at the top, check this list to find out.

One Example Is Overland Park.


A business owner, or the professionals the business hires,. You can verify whether a business is registered with a state agency below: After successfully registering for the required licenses and permits necessary to operate a business, it is recommended you.

3960 Kansas Business Licenses 66215.


To apply for a business license, contact the business license office. The registration process may last about 4 weeks before the date you initiate your business with kansas city business license. A few cities do not require a business license.

Kansas Cities On The Web.


Be careful not to apply for a kansas retail license through kansas city, kansas unless you do business there. (enter a date in mm/dd/yyyy format) To register your pet please visit the columbus police department at 300 e.

Post a Comment for "Business License Kansas City"